搜索
题目内容
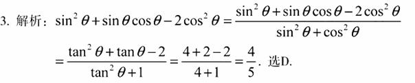
已知
,则
的值为 ( )
A.
B.
C.
D.
试题答案
相关练习册答案
练习册系列答案
考必胜小学毕业升学考试试卷精选系列答案
精华版中考备战策略系列答案
聚焦中考系列答案
新中考全真模拟8套卷系列答案
初中学业考试说明与指导系列答案
中考备战策略系列答案
南京市中考指导书系列答案
中考考前模拟8套卷成功之路系列答案
课前课后快速检测系列答案
小学毕业升学卷系列答案
相关题目
4. 已知
,则
的值为 ()
A.
B.
C.
D.
已知
,则
的值为( )
A.-2
B.-1
C.1
D.2
已知
,则
的值为
A.
B.
C.
D.
已知
,则
的值为( )
A.
B.
C.
D
在
中,已知
,
则
的值为
.
关 闭
试题分类
高中
数学
英语
物理
化学
生物
地理
初中
数学
英语
物理
化学
生物
地理
小学
数学
英语
其他
阅读理解答案
已回答习题
未回答习题
题目汇总
试卷汇总
练习册解析答案