题目内容
已知函数f(x)=ax2-2x+lnx,
(Ⅰ)若f(x)无极值点,但其导函数f′(x)有零点,求a的值;
(Ⅱ)若f(x)有两个极值点,求a的取值范围,并证明f(x)的极小值小于
。
(Ⅰ)若f(x)无极值点,但其导函数f′(x)有零点,求a的值;
(Ⅱ)若f(x)有两个极值点,求a的取值范围,并证明f(x)的极小值小于
解:(Ⅰ)
,
f′(x)有零点而f(x)无极值点,
表明该零点左右f′(x)同号,故a≠0,且
的△=0,
由此可得
;
(Ⅱ)由题意,
有两不同的正根,
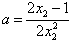
故△>0,a>0,解得:
;
设
的两根为
,
因为在区间
均有f′(x)>0,而在区间
上,f′(x)<0,
故x2是f(x)的极小值点,
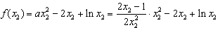
∴
,
∴
,
由
,
∴
,
构造函数
,
,
∴
,
∴f(x)的极小值
。
f′(x)有零点而f(x)无极值点,
表明该零点左右f′(x)同号,故a≠0,且
由此可得
(Ⅱ)由题意,
故△>0,a>0,解得:
设
因为在区间
故x2是f(x)的极小值点,
∴
∴
由
∴
构造函数
∴
∴f(x)的极小值
练习册系列答案
相关题目