题目内容

设数列{an}的前n项和为Sn,已知a1=1,(n=1,2,3,…),
证明:(1)数列是等比数列;
(2)Sn+1=4an

证明:(1)∵
∴(n+2)Sn=n(Sn+1-Sn),
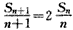
整理,得nSn+1=2(n+1)Sn

是以1为首项,2为公比的等比数列.
(2)由(1)知
于是
又a2=3S1=3,
故S2=a1+a2=4=4a1
因此,对于任意的正整数n≥1,都有Sn+1=4an

练习册系列答案
相关题目

违法和不良信息举报电话:027-86699610 举报邮箱:58377363@163.com

精英家教网