题目内容
正三棱柱ABC-A1B1C1内接于半径为1的球,则当该棱柱体积最大时,高h=( )A.
B.
C.
D.
【答案】分析:由正三棱柱ABC-A1B1C1内接于半径为1的球,该棱柱的高为h,则球心到正三棱柱底面ABC的距离d=
h,进而根据底面半径r,球心距d,球半径R构成直角三角形,满足勾股定理,可得底面半径r,再由等边三角形外接圆半径与边长的关系,可得底面边长a,进而得到底面面积,和棱柱的体积,利用导数法可得该棱柱体积最大时,高h的值.
解答:解:设该棱柱的高为h,
由正三棱柱ABC-A1B1C1内接于半径为1的球,
可得球心到正三棱柱底面ABC的距离d=
h
则正三棱柱底面ABC的底面半径r=
=
则正三棱柱底面ABC的底面边长a=
r=
则正三棱柱底面ABC的底面面积S=
=
-
则正三棱柱ABC-A1B1C1的体积V=
Sh=
h-
则V′=
-
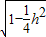
令V′=0,则h=
故当该棱柱体积最大时,高h=
故选D
点评:本题考查的知识点是球内接多面体,解答本题的关键是熟练掌握底面半径r,球心距d,球半径R构成直角三角形,满足勾股定理,及正三角形边长,面积,外接圆半径之间的关系.
解答:解:设该棱柱的高为h,
由正三棱柱ABC-A1B1C1内接于半径为1的球,
可得球心到正三棱柱底面ABC的距离d=
则正三棱柱底面ABC的底面半径r=
则正三棱柱底面ABC的底面边长a=
则正三棱柱底面ABC的底面面积S=
则正三棱柱ABC-A1B1C1的体积V=
则V′=
令V′=0,则h=
故当该棱柱体积最大时,高h=
故选D
点评:本题考查的知识点是球内接多面体,解答本题的关键是熟练掌握底面半径r,球心距d,球半径R构成直角三角形,满足勾股定理,及正三角形边长,面积,外接圆半径之间的关系.
练习册系列答案
相关题目