题目内容
已知点P(2,0)及圆C:x2+y2-6x+4y+4=0.(Ⅰ)若直线l过点P且与圆心C的距离为1,求直线l的方程;
(Ⅱ)设过P直线l1与圆C交于M、N两点,当|MN|=4时,求以MN为直径的圆的方程;
(Ⅲ)设直线ax-y+1=0与圆C交于A,B两点,是否存在实数a,使得过点P(2,0)的直线l2垂直平分弦AB?若存在,求出实数a的值;若不存在,请说明理由.
【答案】分析:(Ⅰ)分两种情况:当直线l的斜率存在时,设出直线l的斜率为k,由P的坐标和设出的k写出直线l的方程,利用点到直线的距离公式表示出P到直线l的距离d,让d等于1列出关于k的方程,求出方程的解即可得到k的值,利用求出的k和P写出直线l的方程即可;当直线l的斜率不存在时,得到在线l的方程,经过验证符合题意;
(Ⅱ)由利用两点间的距离公式求出圆心C到P的距离,再根据弦长|MN|的一半及半径,利用勾股定理求出弦心距d,发现|CP|与d相等,所以得到P为MN的中点,所以以MN为直径的圆的圆心坐标即为P的坐标,半径为|MN|的一半,根据圆心和半径写出圆的方程即可;
(Ⅲ)把已知直线的方程代入到圆的方程中消去y得到关于x的一元二次方程,因为直线与圆有两个交点,所以得到△>0,列出关于a的不等式,求出不等式的解集即可得到a的取值范围,利用反证法证明:假设符合条件的a存在,由直线l2垂直平分弦AB得到圆心必在直线l2上,根据P与C的坐标即可求出l2的斜率,然后根据两直线垂直时斜率的乘积为-1,即可求出直线ax-y+1=0的斜率,进而求出a的值,经过判断求出a的值不在求出的范围中,所以假设错误,故这样的a不存在.
解答:解:(Ⅰ)设直线l的斜率为k(k存在)则方程为y-0=k(x-2).
又圆C的圆心为(3,-2),半径r=3,
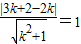
由
,解得
.
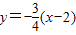
所以直线方程为
,即3x+4y-6=0;
当l的斜率不存在时,l的方程为x=2,经验证x=2也满足条件;
(Ⅱ)由于
,而弦心距
,
所以d=
,所以P为MN的中点,
所以所求圆的圆心坐标为(2,0),半径为
|MN|=2,
故以MN为直径的圆Q的方程为(x-2)2+y2=4;
(Ⅲ)把直线ax-y+1=0即y=ax+1.代入圆C的方程,消去y,整理得(a2+1)x2+6(a-1)x+9=0.
由于直线ax-y+1=0交圆C于A,B两点,
故△=36(a-1)2-36(a2+1)>0,即-2a>0,解得a<0.
则实数a的取值范围是(-∞,0).
设符合条件的实数a存在,
由于l2垂直平分弦AB,故圆心C(3,-2)必在l2上.
所以l2的斜率kPC=-2,
而
,
所以
.
由于
,
故不存在实数a,使得过点P(2,0)的直线l2垂直平分弦AB.
点评:此题考查学生掌握直线与圆的位置关系,灵活运用点到直线的距离公式及两点间的距离公式化简求值,考查了分类讨论的数学思想,以及会利用反证法进行证明,是一道综合题.
(Ⅱ)由利用两点间的距离公式求出圆心C到P的距离,再根据弦长|MN|的一半及半径,利用勾股定理求出弦心距d,发现|CP|与d相等,所以得到P为MN的中点,所以以MN为直径的圆的圆心坐标即为P的坐标,半径为|MN|的一半,根据圆心和半径写出圆的方程即可;
(Ⅲ)把已知直线的方程代入到圆的方程中消去y得到关于x的一元二次方程,因为直线与圆有两个交点,所以得到△>0,列出关于a的不等式,求出不等式的解集即可得到a的取值范围,利用反证法证明:假设符合条件的a存在,由直线l2垂直平分弦AB得到圆心必在直线l2上,根据P与C的坐标即可求出l2的斜率,然后根据两直线垂直时斜率的乘积为-1,即可求出直线ax-y+1=0的斜率,进而求出a的值,经过判断求出a的值不在求出的范围中,所以假设错误,故这样的a不存在.
解答:解:(Ⅰ)设直线l的斜率为k(k存在)则方程为y-0=k(x-2).
又圆C的圆心为(3,-2),半径r=3,
由
所以直线方程为
当l的斜率不存在时,l的方程为x=2,经验证x=2也满足条件;
(Ⅱ)由于
所以d=
所以所求圆的圆心坐标为(2,0),半径为
故以MN为直径的圆Q的方程为(x-2)2+y2=4;
(Ⅲ)把直线ax-y+1=0即y=ax+1.代入圆C的方程,消去y,整理得(a2+1)x2+6(a-1)x+9=0.
由于直线ax-y+1=0交圆C于A,B两点,
故△=36(a-1)2-36(a2+1)>0,即-2a>0,解得a<0.
则实数a的取值范围是(-∞,0).
设符合条件的实数a存在,
由于l2垂直平分弦AB,故圆心C(3,-2)必在l2上.
所以l2的斜率kPC=-2,
而
所以
由于
故不存在实数a,使得过点P(2,0)的直线l2垂直平分弦AB.
点评:此题考查学生掌握直线与圆的位置关系,灵活运用点到直线的距离公式及两点间的距离公式化简求值,考查了分类讨论的数学思想,以及会利用反证法进行证明,是一道综合题.
练习册系列答案
相关题目