题目内容
已知函数f(x)=lnx+
+x(a∈R)。
(1)求函数f(x)的单调区间;
(2)若以函数y=f(x)-x(0<x≤3)图像上任意一点P(x0,y0)为切点的切线的斜率恒成立,求实数a的最小值。
(1)求函数f(x)的单调区间;
(2)若以函数y=f(x)-x(0<x≤3)图像上任意一点P(x0,y0)为切点的切线的斜率恒成立,求实数a的最小值。
解:(1)
,
方程
的判别式
,
当
时,
,
,f(x)在(0,+∞)单调递增,
当
时,
方程
有两个根均小于等于零,
,
在(0,+∞)单调递增,
当0<a时,
,方程
有一个正根
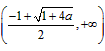
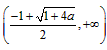
,f(x)在
单调递减,在
单调递增,
综上,当a≤0时,f(x)在(0,+∞)单调递增;
当0<a时,f(x)在
单调递减,f(x)在
单调递增;
(2)
,
恒成立
当
时,
取得最大值
,
∴
,
∴
。
方程
当
当
当0<a时,
综上,当a≤0时,f(x)在(0,+∞)单调递增;
当0<a时,f(x)在
(2)
当
∴
∴
练习册系列答案
相关题目