题目内容
已知函数(1)若函数f(x)在其定义域内为单调函数,求a的取值范围;
(2)若函数f(x)的图象在x=1处的切线的斜率为0,且
(3)在(2)的条件下,试比较
【答案】分析:(1)根据函数单调性与导数的关系,f(x)在其定义域内为单调函数,在(0,+∞)内f′(x)恒大于0或恒小于0,转化为恒成立问题去解决.
(2)根据导数的几何意义,f'(1)=0,求出a,确定f(x),f′(x)继而得出an+1的表达式,最后用数学归纳法证明.
(3)在(2)的条件下,将各项适当放缩,能得出
,再结合等比数列求和公式化简不等式左边,去与
比较.
解答:解:(1)f(1)=a-b=0⇒a=b,
∴
,
∴
.
要使函数f(x)在定义域(0,+∞)内为单调函数,则在(0,+∞)内f′(x)恒大于0或恒小于0,
当
在(0,+∞)内恒成立;
当a>0时,要使
恒成立,则
,解得a>1,
当a<0时,要使
恒成立,则
,解得a<-1,
所以a的取值范围为a>1或a<-1或a=0.
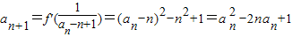
(2)根据题意得:f'(1)=0,即a+a-2=0,得a=1,∴
,
于是
,
用数学归纳法证明如下:
当n=1时,a1=4≥2×1+2,不等式成立;
假设当n=k时,不等式ak≥2k+2成立,即ak-2k≥2也成立,
当n=k+1时,ak+1=ak(ak-2k)+1≥(2k+2)×2+1=4k+5>2(k+1)+2,
所以当n=k+1,不等式也成立,
综上得对所有n∈N*时5,都有an≥2n+2.
(3)由(2)得an=an-1(an-1-2n+2)+1≥an-1[2(n-1)+2-2n+2]+1=2an-1+1,
于是an+1≥2(an-1+1)(n≥2),
所以a2+1≥2(a1+1),a3+1≥2(a2+1)…an+1≥2(an-1+1),
累乘得:
,
所以
.
点评:本题考查函数单调性与导数的关系,数学归纳法,等比数列求和,考查分析解决、转化、放缩,计算等能力与方法.是难题.
(2)根据导数的几何意义,f'(1)=0,求出a,确定f(x),f′(x)继而得出an+1的表达式,最后用数学归纳法证明.
(3)在(2)的条件下,将各项适当放缩,能得出
解答:解:(1)f(1)=a-b=0⇒a=b,
∴
∴
要使函数f(x)在定义域(0,+∞)内为单调函数,则在(0,+∞)内f′(x)恒大于0或恒小于0,
当
当a>0时,要使
当a<0时,要使
所以a的取值范围为a>1或a<-1或a=0.
(2)根据题意得:f'(1)=0,即a+a-2=0,得a=1,∴
于是
用数学归纳法证明如下:
当n=1时,a1=4≥2×1+2,不等式成立;
假设当n=k时,不等式ak≥2k+2成立,即ak-2k≥2也成立,
当n=k+1时,ak+1=ak(ak-2k)+1≥(2k+2)×2+1=4k+5>2(k+1)+2,
所以当n=k+1,不等式也成立,
综上得对所有n∈N*时5,都有an≥2n+2.
(3)由(2)得an=an-1(an-1-2n+2)+1≥an-1[2(n-1)+2-2n+2]+1=2an-1+1,
于是an+1≥2(an-1+1)(n≥2),
所以a2+1≥2(a1+1),a3+1≥2(a2+1)…an+1≥2(an-1+1),
累乘得:
所以
点评:本题考查函数单调性与导数的关系,数学归纳法,等比数列求和,考查分析解决、转化、放缩,计算等能力与方法.是难题.
练习册系列答案
相关题目