题目内容
(选修4-4:坐标系与参数方程)已知曲线C的参数方程是(Ⅰ)求曲线C普通方程;
(Ⅱ)若点
【答案】分析:(Ⅰ)消去直线l的参数t得普通方程,令y=0,得x的值,即求得直线与x轴的交点;消去曲线C的参数即得C的普通方程,再把上面求得的点代入此方程即可求出a的值;
(Ⅱ)把点A、B、C的极坐标化为直角坐标,代入曲线C的方程,可得
,即
=
,同理得出其它,代入即可得出答案.
解答:解:(Ⅰ)∵直线l的参数方程是
(t为参数),消去参数t得x+y=2,令y=0,得x=2.
∵曲线C的参数方程是
(φ为参数,a>0),消去参数φ得
,
把点(2,0)代入上述方程得a=2.
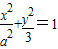
∴曲线C普通方程为
.
(Ⅱ)∵点
在曲线C上,即A(ρ1cosθ,ρ1sinθ),
,
在曲线C上,
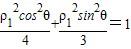
∴
=
=





=




=
+
=
.
点评:正确消去参数化为普通方程、把极坐标化为直角坐标并代入曲线C的方程得出结论及熟练进行恒等变形是解题的关键.
(Ⅱ)把点A、B、C的极坐标化为直角坐标,代入曲线C的方程,可得
解答:解:(Ⅰ)∵直线l的参数方程是
∵曲线C的参数方程是
把点(2,0)代入上述方程得a=2.
∴曲线C普通方程为
(Ⅱ)∵点
∴
=
=
=
点评:正确消去参数化为普通方程、把极坐标化为直角坐标并代入曲线C的方程得出结论及熟练进行恒等变形是解题的关键.
练习册系列答案
相关题目