题目内容
数列{an}中,a1=1,an+1=
,n∈N*,试猜想这个数列的通项公式。
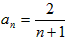
解:在{an}中,a1=1,a2=
,
,…
∴{an}的通项公式为![]()
启示:
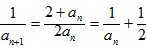
通过归纳推理得出的结论可能正确,也可能不正确,它的正确性需要经过严格的证明,本题的结论可用以下方法来证明,
∴
,
∴
,
∴![]()
即数列{
}是以
为首项,公差为
的等差数列,
∴
,
∴
。
练习册系列答案
相关题目
数列{an}中,a1=
,an+an+1=
,n∈N*,则
(a1+a2+…+an)等于( )
| 1 |
| 5 |
| 6 |
| 5n+1 |
| lim |
| n→∞ |
A、
| ||
B、
| ||
C、
| ||
D、
|