题目内容
已知数列{an}的前n项和Sn和通项an满足
(q是常数且q>0,q≠1)。
(1)求数列{an}的通项公式;
(2)当
时,试证明
;
(3)设函数f(x)=logqx,bn=f(a1)+f(a2)+…+f(an),是否存在正整数m,使
对
n∈N*都成立?若存在,求出m的值;若不存在,请说明理由。
(1)求数列{an}的通项公式;
(2)当
(3)设函数f(x)=logqx,bn=f(a1)+f(a2)+…+f(an),是否存在正整数m,使
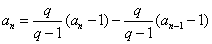
解:(1)由题意,
,得
∴a1=q
当n≥2时,



∴
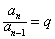
∴数列{an}是首项a1=q,公比为q的等比数列,故
。
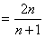
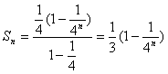
(2)由(1)知当
时,
,
∵
∴
即
。
(3)∵f(x)=logqx
∴


∴
∴


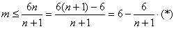
由
,得

∵(*)对
都成立,
∴
∵m是正整数,
∴m的值为1,2,3
∴使
对
都成立的正整数m存在,其值为1,2,3。
∴a1=q
当n≥2时,
∴
∴数列{an}是首项a1=q,公比为q的等比数列,故
(2)由(1)知当
∵
∴
即
(3)∵f(x)=logqx
∴
∴
∴
由
∵(*)对
∴
∵m是正整数,
∴m的值为1,2,3
∴使
练习册系列答案
相关题目
已知数列{an}的前n项和Sn=an2+bn(a、b∈R),且S25=100,则a12+a14等于( )
| A、16 | B、8 | C、4 | D、不确定 |