题目内容
在△ABC中,角A,B,C所对的边分别为a,b,c,已知a=2,c=3,
。
(Ⅰ)求b的值;
(Ⅱ)求sinC的值。
(Ⅰ)求b的值;
(Ⅱ)求sinC的值。
解:(Ⅰ)由余弦定理,
,
∴
,
∴
。
(Ⅱ)方法1:由余弦定理,得

,
∵C是△ABC的内角,
∴
。
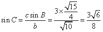
方法2:∵
,且B是△ABC的内角,
∴
,
根据正弦定理
,
得
。
∴
∴
(Ⅱ)方法1:由余弦定理,得
∵C是△ABC的内角,
∴
方法2:∵
∴
根据正弦定理
得
练习册系列答案
相关题目
在△ABC中,角A、B、C所对的边分别为a,b,c,若b2+c2-a2=
bc,且b=
a,则下列关系一定不成立的是( )
| 3 |
| 3 |
| A、a=c |
| B、b=c |
| C、2a=c |
| D、a2+b2=c2 |