搜索
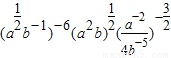
题目内容
=
.
试题答案
相关练习册答案
【答案】
分析:
把最后面项的分母利用负指数化到分子上去,然后利用有理指数幂的化简运算求值.
解答:
解:
=
=a•b
-1
•8
=
.
故答案为
.
点评:
本题考查了有理指数幂的化简求值,是基础的运算题.
练习册系列答案
1加1阅读好卷系列答案
专项复习训练系列答案
初中语文教与学阅读系列答案
阅读快车系列答案
完形填空与阅读理解周秘计划系列答案
英语阅读理解150篇系列答案
奔腾英语系列答案
标准阅读系列答案
53English系列答案
考纲强化阅读系列答案
相关题目
不解三角形,确定下列判断正确的是( )
A.
,有一解
B.a=5,b=4,A=60°,有两解
C.
,有一解
D.
,有一解
设曲线y=x
4
+ax+b在x=1处的切线方程是y=x,则a=
,b=
.
求不等式
的解.
若不等式
成立,则实数x的取值范围是( )
A.(0,+∞)
B.(1,+∞)
C.(0,1)
D.R
已知a>0,则下列等式一定成立的是( )
A.
B.
C.
D.
已知集合A=R,B={(x,y)|x,y∈R},f:A→B是从集合A到B的映射.若f:x→(x+1,x-1),求A中元素3在B中的对应元素和B中元素(-4,-6)在A中的对应元素.
某单位有老年人28人,中年人54人,青年人81人.为了调查他们的身体状况,需从他们中抽取一个容量为36的样本,最适合抽取样本的方法是( )
A.简单随机抽样
B.系统抽样
C.分层抽样
D.先从老年人中剔除一人,然后分层抽样
从正六边形的6个顶点中随机选择4个顶点,则以它们作为顶点的四边形是矩形的概率等于( )
A.
B.
C.
D.
关 闭
试题分类
高中
数学
英语
物理
化学
生物
地理
初中
数学
英语
物理
化学
生物
地理
小学
数学
英语
其他
阅读理解答案
已回答习题
未回答习题
题目汇总
试卷汇总
练习册解析答案