题目内容
已知函数f(x)=(x2+bx+c)ex,其中b,c∈R为常数,
(Ⅰ)若b2>4(c-1),讨论函数f(x)的单调性;
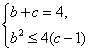
(Ⅱ)若b2≤4(c-1),且
,试证:-6≤b≤2。
(Ⅰ)若b2>4(c-1),讨论函数f(x)的单调性;
(Ⅱ)若b2≤4(c-1),且
解:(Ⅰ)求导得
,
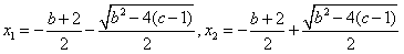
因
,故方程f′(x)=0即
有两根;
,
令f′(x)>0,解得
;
又令f′(x)<0,解得
,
故当
时,f(x)是增函数;当
时,f(x)是增函数;
但当
时,f(x)是减函数;
(Ⅱ)易知
,
因此
,
所以,由已知条件得
,
因此
,
解得-6≤b≤2。
因
令f′(x)>0,解得
又令f′(x)<0,解得
故当
但当
(Ⅱ)易知
因此
所以,由已知条件得
因此
解得-6≤b≤2。
练习册系列答案
相关题目
已知函数f(x)=x2-bx的图象在点A(1,f(1))处的切线l与直线3x-y+2=0平行,若数列{
}的前n项和为Sn,则S2010的值为( )
| 1 |
| f(n) |
A、
| ||
B、
| ||
C、
| ||
D、
|