题目内容
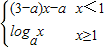
已知函数f(x)=A.(1,+∞)
B.(-∞,3)
C.[
D.(1,3)
【答案】分析:本题考查的是分段函数和函数单调性的综合类问题.在解答时,首先得保证函数在各段上是增函数,然后保证x=1时x<1对应的上限要小于等于x≥1时函数对应的下限.解不等式进而获得问题的解答.
解答:解:由题意:函数f(x)=
是(-∞,+∞)上的递增函数,
所以必有:
,解得:
,
故选C.
点评:本题考查的是分段函数和函数单调性的综合类问题.在解答的过程当中充分体现了分段函数的思想、解不等式的思想以及数形结合的思想.值得同学们体会和反思.
解答:解:由题意:函数f(x)=
所以必有:
故选C.
点评:本题考查的是分段函数和函数单调性的综合类问题.在解答的过程当中充分体现了分段函数的思想、解不等式的思想以及数形结合的思想.值得同学们体会和反思.
练习册系列答案
相关题目
已知函数f(x+1)是偶函数,当x2>x1>1时,[f(x2)-f(x1)]( x2-x1)>0恒成立,设a=f (-
),b=f(2),c=f(3),则a,b,c的大小关系为( )
| 1 |
| 2 |
| A、b<a<c |
| B、c<b<a |
| C、b<c<a |
| D、a<b<c |