题目内容
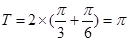
函数
的部分图像如图所示,如果
,且
,则
( )
![]()
A.
B.
C.
D.1
【答案】
C
【解析】
试题分析:由图可知
,所以
,令
得
,所以函数解析式为
,对于
,由于
,故
,故
,选C.
考点:三角函数图象.
练习册系列答案
相关题目
题目内容
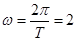
函数
的部分图像如图所示,如果
,且
,则
( )
![]()
A.
B.
C.
D.1
C
【解析】
试题分析:由图可知
,所以
,令
得
,所以函数解析式为
,对于
,由于
,故
,故
,选C.
考点:三角函数图象.