题目内容
已知函数f(x)=ax2+a2x+2b-a3,当x∈(-2,6)时,其值为正,而当x∈(-∞,-2)∪(6,+∞)时,其值为负.(I)求实数a,b的值及函数f(x)的解析式;
(II)设F(x)=-
【答案】分析:(Ⅰ)由题意知-2,6为方程f(x)=0的两根,由韦达定理可求a,b值;
(Ⅱ)把F(x)=0表示出来,根据二次方程的根与系数关系求出根,利用根大于0这一条件可求k范围.
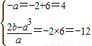
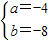
解答:解:(Ⅰ)由题意可知-2和6是方程f(x)=0的两根,
∴
,解得
.
∴此时a=-4,b=-8.
f(x)=-4x2+16x+48.
(Ⅱ)F(x)=-
(-4x2+16x+48)+4x+12k=kx2+4(1-k)x,
当k=0时,F(x)=4x,不合题意;
当k≠0时,F(x)=0的一根为
,
则有k(k-1)>0,解得k>1或k<0.
故当k>1或k<0时,方程F(x)=0有正根.
点评:本题考查二次函数解析式的求法及韦达定理,属基础题,难度不大.
(Ⅱ)把F(x)=0表示出来,根据二次方程的根与系数关系求出根,利用根大于0这一条件可求k范围.
解答:解:(Ⅰ)由题意可知-2和6是方程f(x)=0的两根,
∴
∴此时a=-4,b=-8.
f(x)=-4x2+16x+48.
(Ⅱ)F(x)=-
当k=0时,F(x)=4x,不合题意;
当k≠0时,F(x)=0的一根为
则有k(k-1)>0,解得k>1或k<0.
故当k>1或k<0时,方程F(x)=0有正根.
点评:本题考查二次函数解析式的求法及韦达定理,属基础题,难度不大.
练习册系列答案
相关题目