题目内容
已知函数f(x)=Asin(ωx+φ)(A>0,ω>0,丨φ丨<(1)求f(x)的解析式;
(2)若函数g(x)=af(x)+b的最大和最小值分别为6和2,求a,b的值.
【答案】分析:(1)依题意,得
,解得T,再利用T=
,解得ω.又最大值为2,最小值为-2,可得A=2,于是y=
.根据图象经过(0,1),可得2sinφ=1,又|φ|
,可得φ.
(2)利用
.和-2≤f(x)≤2,即可得出
或
解出即可.
解答:解:(1)依题意,得
,解得T=3=
,解得ω=
.
∵f(x)的最大值为2,最小值为-2,∴A=2,
∴y=
.
∵图象经过(0,1),
∴2sinφ=1,即sinφ=
.
又|φ|
,∴φ=
,∴
.
(2)∵
.
∴-2≥f(x)≤2,
∴
或
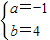
解得,
或
点评:熟练掌握三角函数的图象与性质是解题的关键.
(2)利用
解答:解:(1)依题意,得
∵f(x)的最大值为2,最小值为-2,∴A=2,
∴y=
∵图象经过(0,1),
∴2sinφ=1,即sinφ=
又|φ|
(2)∵
∴-2≥f(x)≤2,
∴
解得,
点评:熟练掌握三角函数的图象与性质是解题的关键.
练习册系列答案
相关题目