题目内容
已知数列{an}满足:Sn=1-an(n∈N*),其中Sn为数列{an}的前n项和.(Ⅰ)试求{an}的通项公式;
(Ⅱ)若数列{bn}满足:
【答案】分析:(Ⅰ)先把n=1代入求出a1,再利用an+1=Sn+1-Sn求解数列的通项公式即可.
(Ⅱ)把(Ⅰ)的结论代入,发现其通项为一等差数列乘一等比数列组成的新数列.,故直接利用数列求和的错位相减法求和即可.
解答:解:(Ⅰ)∵Sn=1-an①
∴sn+1=1-an+1 ②
②-①得an+1=-an+1+an⇒
an;
n=1时,a1=1-a1⇒a1=
(6分)
(Ⅱ)因为 bn=
=n•2n.
所以 Tn=1×2+2×22+3×23+…+n×2n ③
故 2Tn=1×22+2×23+…+n×2n+1 ④
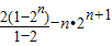
③-④-Tn=2+22+23+…+2n-n•2n+1=
整理得 Tn=(n-1)2n+1+2.(12分)
点评:本题的第一问考查已知前n项和为Sn求数列{an}的通项公式,第二问考查了数列求和的错位相减法.错位相减法适用于通项为一等差数列乘一等比数列组成的新数列.
(Ⅱ)把(Ⅰ)的结论代入,发现其通项为一等差数列乘一等比数列组成的新数列.,故直接利用数列求和的错位相减法求和即可.
解答:解:(Ⅰ)∵Sn=1-an①
∴sn+1=1-an+1 ②
②-①得an+1=-an+1+an⇒
n=1时,a1=1-a1⇒a1=
(Ⅱ)因为 bn=
所以 Tn=1×2+2×22+3×23+…+n×2n ③
故 2Tn=1×22+2×23+…+n×2n+1 ④
③-④-Tn=2+22+23+…+2n-n•2n+1=
整理得 Tn=(n-1)2n+1+2.(12分)
点评:本题的第一问考查已知前n项和为Sn求数列{an}的通项公式,第二问考查了数列求和的错位相减法.错位相减法适用于通项为一等差数列乘一等比数列组成的新数列.
练习册系列答案
相关题目