题目内容
在平面直角坐标系xOy中,有一个以F1(0,-
)和F2(0,
)为焦点、离心率为
的椭圆,设椭圆在第一象限的部分为曲线C,动点P在C上,C在点P处的切线与x、y轴的交点分别为A、B,且向量
。
(1)点M的轨迹方程;
(2)
的最小值。
(1)点M的轨迹方程;
(2)
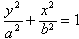
解:(1)椭圆方程可写为
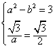
式中a>b>0,且
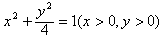
得a2=4,b2=1,所以曲线C的方程为

设P(x0,y0),因P在C上,有

得切线AB的方程为

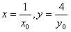
设A(x,0)和B(0,y),由切线方程得

由
得M的坐标为(x,y),由x0,y0满足C的方程,得点M的轨迹方程为
;
(2)∵

∴
且当
即
时,上式取等号
故
的最小值为3。
式中a>b>0,且
得a2=4,b2=1,所以曲线C的方程为
设P(x0,y0),因P在C上,有
得切线AB的方程为
设A(x,0)和B(0,y),由切线方程得
由
得M的坐标为(x,y),由x0,y0满足C的方程,得点M的轨迹方程为
(2)∵
∴
且当
即
故
练习册系列答案
相关题目
在平面直角坐标系xOy中,双曲线中心在原点,焦点在y轴上,一条渐近线方程为x-2y=0,则它的离心率为( )
A、
| ||||
B、
| ||||
C、
| ||||
| D、2 |