题目内容
已知数列{an}满足a1=3,an+1-3an=3n(n∈N*),数列{bn}满足bn=3-nan。
(1)求证:数列{bn}是等差数列;
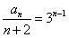
(2)设
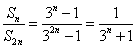
,求满足不等式
的所有正整数n的值。
(1)求证:数列{bn}是等差数列;
(2)设
解:(1)由
得
则
代入
中得
即得
所以数列
是等差数列;
(2)因为数列
是首项为
,公差为
等差数列,
则
则
从而有
故
则
由
得
即
得
故满足不等式
的所有正整数n的值为2,3。
则
代入
即得
所以数列
(2)因为数列
则
则
从而有
故
则
由
即
得
故满足不等式
练习册系列答案
相关题目