题目内容
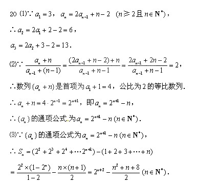
在数列中,, 且.⑴求,的值;⑵证明:数列是等比数列,并求的通项公式;⑶求数列的前项和.
解析
在数列中,,且满足 .
(Ⅰ)求及数列的通项公式;
(Ⅱ)设求数列的前项和.
(12分)在数列中,,且对任意都有成立,令(1)求数列的通项公式;(2)求数列的前n项和。
在数列中,,且当时有,则数列的通项公式为 .
在数列中,,且对于任意正整数n,都有,则= 。
在数列中,,且对任意.,,成等差数列,其公差为。
(Ⅰ)若=,证明,,成等比数列()
(Ⅱ)若对任意,,,成等比数列,其公比为。