题目内容
设A={x|2x2-px+q=0},B={x|6x2+(p+2)x+5+q=0},若A∩B={A.{
B.{
C.{
D.{
【答案】分析:由A={x|2x2-px+q=0},B={x|6x2+(p+2)x+5+q=0},A∩B={
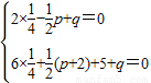
},知
,解得p=-7,q=-4,由此能求出A∪B.
解答:解:∵A={x|2x2-px+q=0},B={x|6x2+(p+2)x+5+q=0},A∩B={
},
∴
,
解得p=-7,q=-4,
∴A={x|2x2+7x-4=0}={-4,
},
B={x|6x2-5x+1=0}={
},
∴A∪B={
,
,-4}.
故选D.
点评:本题考查集合的交、并、补集的混合运算,是基础题.解题时要认真审题,仔细解答.
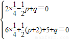
解答:解:∵A={x|2x2-px+q=0},B={x|6x2+(p+2)x+5+q=0},A∩B={
∴
解得p=-7,q=-4,
∴A={x|2x2+7x-4=0}={-4,
B={x|6x2-5x+1=0}={
∴A∪B={
故选D.
点评:本题考查集合的交、并、补集的混合运算,是基础题.解题时要认真审题,仔细解答.
练习册系列答案
相关题目