题目内容
已知数列{an}满足an+1=|an-1|(n∈N*),
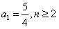
(1)若
,求an;
(2)是否存在a1,n0(a1∈R,n0∈N*),使当n≥n0(n∈N*)时,an恒为常数。若存在,求a1,n0,否则说明理由;
(3)若a1=a∈(k,k+1)(k∈N*),求{an}的前3k项的和S3k(用k,a表示)。
(1)若
(2)是否存在a1,n0(a1∈R,n0∈N*),使当n≥n0(n∈N*)时,an恒为常数。若存在,求a1,n0,否则说明理由;
(3)若a1=a∈(k,k+1)(k∈N*),求{an}的前3k项的和S3k(用k,a表示)。
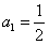
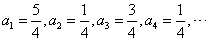
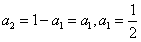
解:(1)
,
∴
时,
,其中k∈N*。
(2)因为存在
,
所以,当
时,
,
①若
,则
,此时只需:
,
故存在
;
②若
,不妨设
,易知,
,
∴
,
∴
时,
;
③若
,不妨设
,易知
,
∴
,
∴
,∴
则
,
故存在三组
和
:
时,
;
时,
;
时,
,其中
。
(3)当
时,
易知,
,
,
,
∴

。
∴
(2)因为存在
所以,当
①若
故存在
②若
∴
∴
③若
∴
∴
故存在三组
(3)当
易知,
∴
练习册系列答案
相关题目