题目内容
已知函数f(x)=lnx,(I)若a=-2时,函数h(x)=f(x)-g(x)在其定义域内是增函数,求b的取值范围;
(Ⅱ)在(I)的结论下,设φ(x)=e2x+bex,x∈[0,ln2],求函数φ(x)的最小值;
(Ⅲ)设函数f(x)的图象C1与函数g(x)的图象C2交于点P、Q,过线段PQ的中点R作x轴的垂线分别交C1、C2于点M、N,问是否存在点R,使C1在M处的切线与C2在N处的切线平行?若存在,求出R的横坐标;若不存在,请说明理由.
【答案】分析:(I)根据a=-2时,函数h(x)=f(x)-g(x)在其定义域内是增函数,知道h′(x)在其定义域内大于等于零,得到一个关于b的不等式,解此不等式即得b的取值范围;
(II)先设t=ex,将原函数化为关于t的二次函数,最后将原函数φ(x)的最小值问题转化成二次函数在某区间上的最值问题即可;
(III)先假设存在点R,使C1在M处的切线与C2在N处的切线平行,利用导数的几何意义求出切线的斜率进而得出切线的方程,后利用斜率相等求出R的横坐标,如出现矛盾,则不存在;若不出现矛盾,则存在.
解答:解:(I)依题意:h(x)=lnx+x2-bx.
∵h(x)在(0,+∞)上是增函数,
∴
对x∈(0,+∞)恒成立,
∴
,∵x>0,则
.
∴b的取值范围是
.
(II)设t=ex,则函数化为y=t2+bt,t∈[1,2].
∵
.
∴当
,即
时,函数y在[1,2]上为增函数,
当t=1时,ymin=b+1;当1<-
<2,即-4<b<-2时,当t=-
时,
;
,即b≤-4时,函数y在[1,2]上是减函数,
当t=2时,ymin=4+2b.
综上所述:
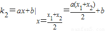
(III)设点P、Q的坐标是(x1,y1),(x2,y2),且0<x1<x2.
则点M、N的横坐标为
.
C1在点M处的切线斜率为
.
C2在点N处的切线斜率为
.
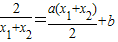
假设C1在点M处的切线与C2在点N处的切线平行,则k1=k2.
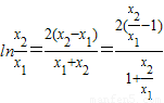
即
.则
=
,
∴
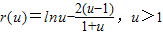
设
,则
,(1)
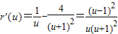
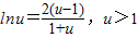
令
,则
,
∵u>1,∴r′(u)>0,
所以r(u)在[1,+∞)上单调递增,
故r(u)>r(1)=0,则
,与(1)矛盾!
点评:本题主要考查了利用导数求闭区间上函数的最值、利用导数研究函数的单调性、两条直线平行的判定等基础知识,属于中档题.
(II)先设t=ex,将原函数化为关于t的二次函数,最后将原函数φ(x)的最小值问题转化成二次函数在某区间上的最值问题即可;
(III)先假设存在点R,使C1在M处的切线与C2在N处的切线平行,利用导数的几何意义求出切线的斜率进而得出切线的方程,后利用斜率相等求出R的横坐标,如出现矛盾,则不存在;若不出现矛盾,则存在.
解答:解:(I)依题意:h(x)=lnx+x2-bx.
∵h(x)在(0,+∞)上是增函数,
∴
∴
∴b的取值范围是
(II)设t=ex,则函数化为y=t2+bt,t∈[1,2].
∵
∴当
当t=1时,ymin=b+1;当1<-
当t=2时,ymin=4+2b.
综上所述:
(III)设点P、Q的坐标是(x1,y1),(x2,y2),且0<x1<x2.
则点M、N的横坐标为
C1在点M处的切线斜率为
C2在点N处的切线斜率为
假设C1在点M处的切线与C2在点N处的切线平行,则k1=k2.
即
=
∴
令
∵u>1,∴r′(u)>0,
所以r(u)在[1,+∞)上单调递增,
故r(u)>r(1)=0,则
点评:本题主要考查了利用导数求闭区间上函数的最值、利用导数研究函数的单调性、两条直线平行的判定等基础知识,属于中档题.
练习册系列答案
相关题目