题目内容
已知圆C:x2+y2-2x-2y+1=0,直线l:y=kx,且l与C相交于P、Q两点,点M(0,b),且MP⊥MQ.(Ⅰ)当b=1时,求k的值;
(Ⅱ)当b∈(1,
【答案】分析:(Ⅰ)当b=1时,点M(0,b)在圆C上,当且仅当直线l经过圆心C时,满足MP⊥MQ.把圆心坐标(1,1)代入直线l:y=kx,可得k的值.
(Ⅱ)把直线l的方程代入圆的方程转化为关于x的一元二次方程,利用根与系数的关系以及
,求得
.令
,则f(b)
在区间
上单调递增,求得
,可得
,解此不等式求得k的取值范围(注意检验△>0).
解答:解:(Ⅰ)圆C:(x-1)2+(y-1)2=1,当b=1时,点M(0,b)在圆C上,
当且仅当直线l经过圆心C时,满足MP⊥MQ.…(2分)
∵圆心C的坐标为(1,1),∴k=1.…(4分)
(Ⅱ)由
,消去y得:(1+k2)x2-2(1+k)x+1=0.①
设P(x1,y1),Q(x2,y2),
∴
.…(6分)
∵MP⊥MQ,∴
.
∴(x1,y1-b)•(x2,y2-b)=0,即 x1x2+(y1-b)(y2-b)=0.
∵y1=kx1,y2=kx2,
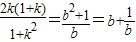
∴(kx1-b)(kx2-b)+x1x2=0,即
.…(8分)
∴
,即
.
令
,则f(b)在区间
上单调递增.
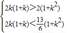
∴当
时,
.…(11分)
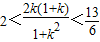
∴
.
即
,解得
,
∴
或
.…(13分)
由①式得△=[2(1+k)]2-4(1+k2)>0,解得k>0.
∴
,或
.
∴k的取值范围是
.…(14分)
点评:本题主要考查直线和圆相交的性质,一元二次方程根与系数的关系,利用函数的单调性求函数的值域,一元二次不等式的解法,属于中档题.
(Ⅱ)把直线l的方程代入圆的方程转化为关于x的一元二次方程,利用根与系数的关系以及
在区间
解答:解:(Ⅰ)圆C:(x-1)2+(y-1)2=1,当b=1时,点M(0,b)在圆C上,
当且仅当直线l经过圆心C时,满足MP⊥MQ.…(2分)
∵圆心C的坐标为(1,1),∴k=1.…(4分)
(Ⅱ)由
设P(x1,y1),Q(x2,y2),
∴
∵MP⊥MQ,∴
∴(x1,y1-b)•(x2,y2-b)=0,即 x1x2+(y1-b)(y2-b)=0.
∵y1=kx1,y2=kx2,
∴(kx1-b)(kx2-b)+x1x2=0,即
∴
令
∴当
∴
即
∴
由①式得△=[2(1+k)]2-4(1+k2)>0,解得k>0.
∴
∴k的取值范围是
点评:本题主要考查直线和圆相交的性质,一元二次方程根与系数的关系,利用函数的单调性求函数的值域,一元二次不等式的解法,属于中档题.
练习册系列答案
相关题目