题目内容
已知函数f(x)=x2-2acoskπ·lnx(k∈N*,a∈R,且a>0),
(Ⅰ)讨论函数f(x)的单调性;
(Ⅱ)若k=2010,关于x的方程f(x)=2ax有唯一解,求a的值.
(Ⅰ)讨论函数f(x)的单调性;
(Ⅱ)若k=2010,关于x的方程f(x)=2ax有唯一解,求a的值.
解:(Ⅰ)由已知,得x>0且f′(x)=
,
当k是奇数时,则f′(x)>0,则f(x)在(0,+∞)上是增函数;
当k是偶数时,则f′(x)=
,
所以当x∈
时,f′(x)<0,当x∈
时,f′(x)>0,
故当k是偶数时,f(x)在
上是减函数,在
上是增函数.
(Ⅱ)若k=2010,则f(x)=x2-2alnx(k∈N*),
记g(x)=f(x)-2ax=x2-2alnx-20x,
g′(x)=
,
若方程f(x)=2ax有唯一解,即g(x)=0有唯一解;
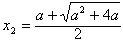
令g′(x)=0,得x2-ax-a=0,
因为a>0,x>0,所以
(舍去),
,
当x∈(0,x2)时,g′(x)<0,g(x)在(0,x2)是单调递减函数;
当x∈(x2,+∞)时,g′(x)>0,g(x)在(x2,+∞)上是单调递增函数.
当x=x2时,g′(x2)=0,g(x)min=g(x2).
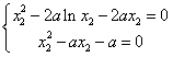
因为g(x)=0有唯一解,所以g(x2)=0,
则
,即
,
两式相减,得2alnx2+ax2-a=0,
因为a>0,
∴2lnx2+x2-1=0, (*)
设函数h(x)=21nx+x-1,
因为在x>0时,h(x)是增函数,所以h(x)=0至多有一解,
因为h(1)=0,
所以方程(*)的解为x2=1,从而解得
。
当k是奇数时,则f′(x)>0,则f(x)在(0,+∞)上是增函数;
当k是偶数时,则f′(x)=
所以当x∈
故当k是偶数时,f(x)在
(Ⅱ)若k=2010,则f(x)=x2-2alnx(k∈N*),
记g(x)=f(x)-2ax=x2-2alnx-20x,
g′(x)=
若方程f(x)=2ax有唯一解,即g(x)=0有唯一解;
令g′(x)=0,得x2-ax-a=0,
因为a>0,x>0,所以
当x∈(0,x2)时,g′(x)<0,g(x)在(0,x2)是单调递减函数;
当x∈(x2,+∞)时,g′(x)>0,g(x)在(x2,+∞)上是单调递增函数.
当x=x2时,g′(x2)=0,g(x)min=g(x2).
因为g(x)=0有唯一解,所以g(x2)=0,
则
两式相减,得2alnx2+ax2-a=0,
因为a>0,
∴2lnx2+x2-1=0, (*)
设函数h(x)=21nx+x-1,
因为在x>0时,h(x)是增函数,所以h(x)=0至多有一解,
因为h(1)=0,
所以方程(*)的解为x2=1,从而解得
练习册系列答案
相关题目