题目内容
.
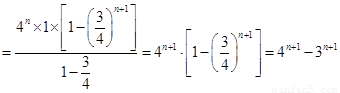
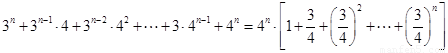
【解析】
试题分析:
考点:等比数列求和
已知数列是等比数列,首项.
(l)求数列的通项公式;
(2)设数列,证明数列是等差数列并求前n项和.
已知函数,其中实数a为常数.
(I)当a=-l时,确定的单调区间:
(II)若f(x)在区间(e为自然对数的底数)上的最大值为-3,求a的值;
(Ⅲ)当a=-1时,证明.
已知,给出下列命题:
①若,则;②若ab≠0,则;③若,则;
其中真命题的个数为( )
(A)3 (B)2 (C)1 (D)0
设是首项为,公差为的等差数列,是其前项和.
(1)若,,求数列的通项公式;
(2)记,,且、、成等比数列,证明:.
在中,角、、的对边分别为、、,且,则( )
A. B. C. D.
已知集合,,则( )
A. B. C. D.
已知命题,;命题,,则下列命题中为真命题的是( )
函数的图象的大致形状是