题目内容
已知等差数列{an}满足a4=6,a6=10,
(Ⅰ)求数列{an}的通项公式;
(Ⅱ)设等比数列{bn}各项均为正数,其前n项和Tn,若a3=b2+2,T3=7,求Tn.
(Ⅰ)求数列{an}的通项公式;
(Ⅱ)设等比数列{bn}各项均为正数,其前n项和Tn,若a3=b2+2,T3=7,求Tn.
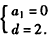
解:(Ⅰ)设等差数列{an}的公差为d,首项为a1,
∵
,
∴
,解得:
,
∴数列{an}的通项公式an=a1+(n-1)d=2n-2。
(Ⅱ)设各项均为正数的等比数列{bn}的公比为q(q>0),
由an=2n-2,a3=2×3-2=4,
∵a3=b2+2,
∴b2=2,
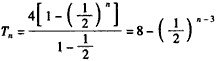
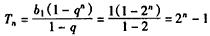
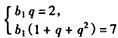
∴
,
解得:
或
,
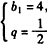
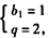
∴
或
。
练习册系列答案
相关题目