搜索
题目内容
已知数列
满足:
,且数列
为等差数列.
(1)求数列
的通项公式;
(2)求和:
.
试题答案
相关练习册答案
解:(1)等差数列
的首项为
,
公差
∴
即
∴
.
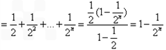
(2)∵
.
∴
练习册系列答案
暑假生活湖南少年儿童出版社系列答案
暑假小小练系列答案
暑假作业新世界出版社系列答案
创新成功学习快乐暑假云南科技出版社系列答案
暑假生活安徽教育出版社系列答案
假期生活智趣暑假系列答案
假期园地复习计划系列答案
学苑新报暑假专刊系列答案
暑假乐园广东人民出版社系列答案
全能测控期末大盘点系列答案
相关题目
20、若有穷数列a
1
,a
2
…a
n
(n是正整数),满足a
1
=a
n
,a
2
=a
n-1
…a
n
=a
1
即a
i
=a
n-i+1
(i是正整数,且1≤i≤n),就称该数列为“对称数列”.
(1)已知数列{b
n
}是项数为7的对称数列,且b
1
,b
2
,b
3
,b
4
成等差数列,b
1
=2,b
4
=11,试写出{b
n
}的每一项
(2)已知{c
n
}是项数为2k-1(k≥1)的对称数列,且c
k
,c
k+1
…c
2k-1
构成首项为50,公差为-4的等差数列,数列{c
n
}的前2k-1项和为S
2k-1
,则当k为何值时,S
2k-1
取到最大值?最大值为多少?
(3)对于给定的正整数m>1,试写出所有项数不超过2m的对称数列,使得1,2,2
2
…2
m-1
成为数列中的连续项;当m>1500时,试求其中一个数列的前2008项和S
2008
若有穷数列a
1
,a
2
,a
3
,…,a
n
(n是正整数),满足a
1
=a
n
,a
2
=a
n-1
,…,a
n
=a
1
即a
i
=a
n-i+1
(i是正整数,且1≤i≤n),就称该数列为“对称数列”.例如:数列1,2,3,3,2,1和数列1,2,3,4,3,2,1都为“对称数列”.已知数列{b
n
}是项数不超过2m(m>1,m∈N*)的对称数列,使得1,2,2
2
…2
m-1
成为数列中连续的前m项,则数列{b
n
}的前2013项和S
2013
所有可能的取值的序号为( )
①2
2013
-1
②2(2
2013
-1)
③2
m+1
-2
2m-2013
-1
④3•2
m-1
-2
2m-2014
-1.
A.①③
B.②④
C.①③④
D.②③④
若有穷数列a
1
,a
2
…a
n
(n是正整数),满足a
1
=a
n
,a
2
=a
n-1
,…,a
n
=a
1
即a
i
=a
n-i+1
(i是正整数,且1≤i≤n),就称该数列为“对称数列”.已知数列{b
n
}是项数为7的对称数列,且b
1
,b
2
,b
3
,b
4
成等差数列,b
1
=2,b
4
=11试写出{b
n
}所有项
2,5,8,11,8,5,2
2,5,8,11,8,5,2
.
已知数列
满足
,且
。
(1)求数列
的通项公式;
(2)数列
是否存在最大项?若存在最大项,求出该项和相应的项数;若不存在,说明理由。
若有穷数列a
1
,a
2
…a
n
(n是正整数),满足a
1
=a
n
,a
2
=a
n-1
…a
n
=a
1
即a
i
=a
n-i+1
(i是正整数,且1≤i≤n),就称该数列为“对称数列”.
(1)已知数列{b
n
}是项数为7的对称数列,且b
1
,b
2
,b
3
,b
4
成等差数列,b
1
=2,b
4
=11,试写出{b
n
}的每一项
(2)已知{c
n
}是项数为2k-1(k≥1)的对称数列,且c
k
,c
k+1
…c
2k-1
构成首项为50,公差为-4的等差数列,数列{c
n
}的前2k-1项和为S
2k-1
,则当k为何值时,S
2k-1
取到最大值?最大值为多少?
(3)对于给定的正整数m>1,试写出所有项数不超过2m的对称数列,使得1,2,2
2
…2
m-1
成为数列中的连续项;当m>1500时,试求其中一个数列的前2008项和S
2008
关 闭
试题分类
高中
数学
英语
物理
化学
生物
地理
初中
数学
英语
物理
化学
生物
地理
小学
数学
英语
其他
阅读理解答案
已回答习题
未回答习题
题目汇总
试卷汇总
练习册解析答案