题目内容
若双曲线![]()
右顶点为
,过其左焦点
作
轴的垂线交双曲线于
两点,且
,则该双曲线离心率的取值范围为( )
A.
B.
C.
D.![]()
【答案】
B
【解析】
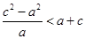
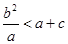
试题分析:由
,得
,则
,则
,所以
,
即
,∴
,∴
,又因为
,所以
.
考点:双曲线的基本性质.
练习册系列答案
相关题目
已知双曲线
-
=1(a>0,b>0),过其左焦点F1作x轴的垂线交双曲线于A、B两点,若双曲线右顶点在以AB为直径的圆内,则双曲线离心离的取值范围为( )
| x2 |
| a2 |
| y2 |
| b2 |
| A、(2,+∞) | ||
| B、(1,2) | ||
C、(
| ||
D、(1,
|