题目内容
若x1,x2(x1≠x2)是函数f(x)=ax3+bx-a2x(a>0)的两个极值点。
(1 )若
,求函数f(x)的解析式;
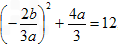
(2 )若
,求b的最大值。
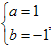
(1 )若
(2 )若
解:(1 )∵
,
∴
依题意有
和1是方程
的两根
∴
解得
∴
(经检验,适合)
(2)∵
,
依题意,x1,x2是方程f′(x)=0的两个根,
∵
且
,
∴
∴
∴

∴
设
,则
由P′(a)>0得0
<a<6,由P′(a)<0得a>6
即函数P(a)在区间(0,6]上是增函数,在区间[6,9]上是减函数,
∴当a=6时,P(a)有极大值为324,
∴P(a)在(0,9]上的最大值是324,
∴b的最大值为18。
∴
依题意有
∴
解得
∴
(2)∵
依题意,x1,x2是方程f′(x)=0的两个根,
∵
∴
∴
∴
∴
设
由P′(a)>0得0
即函数P(a)在区间(0,6]上是增函数,在区间[6,9]上是减函数,
∴当a=6时,P(a)有极大值为324,
∴P(a)在(0,9]上的最大值是324,
∴b的最大值为18。
练习册系列答案
相关题目