题目内容
已知函数f(x)=kx,(1)求函数
(2)若不等式f(x)≥g(x)在区间(0,+∞)上恒成立,求k的取值范围;
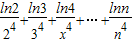
(3)求证:
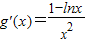
【答案】分析:(1)由g'(x)>0,解得x的范围,就是函数的增区间.
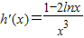
(2)问题转化为k大于等于h(x)的最大值,利用导数求得函数h(x)有最大值,且最大值为
,得到 k≥
.
(3)先判断
<
(x≥2),得
<
,
用放缩法证明
<1,即得要证的不等式.
解答:解:(1)∵
(x>0),∴
,令g'(x)>0,得0<x<e,
故函数
的单调递增区间为(0,e).
(2)由
,则问题转化为k大于等于h(x)的最大值.
又
,令
.
当x在区间(0,+∞)内变化时,h'(x)、h(x)变化情况如下表:
由表知当
时,函数h(x)有最大值,且最大值为
,因此k≥
.
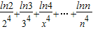
(3)由
≤
,∴
<
(x≥2),
∴
<
.
又∵
<
=
1-
+
+
+…+
=1-
<1,
∴
<
.
点评:本题考查利用导数研究函数的单调性,求函数极值,用放缩法证明不等式,放缩不等式是解题的难点.
(2)问题转化为k大于等于h(x)的最大值,利用导数求得函数h(x)有最大值,且最大值为
(3)先判断
用放缩法证明
解答:解:(1)∵
故函数
(2)由
又
当x在区间(0,+∞)内变化时,h'(x)、h(x)变化情况如下表:
| x | (0, | ( | |
| h'(x) | + | - | |
| h(x) | ↗ | ↘ |
(3)由
∴
又∵
1-
∴
点评:本题考查利用导数研究函数的单调性,求函数极值,用放缩法证明不等式,放缩不等式是解题的难点.
练习册系列答案
相关题目