题目内容
已知数列{an}满足
(n∈N*),数列{bn}前n项和
,数列{cn}满足cn=anbn.
(1)求数列{an}和数列{bn}的通项公式;
(2)求数列{cn}的前n项和Tn;
(3)若
对一切正整数n恒成立,求实数m的取值范围.
(1)求数列{an}和数列{bn}的通项公式;
(2)求数列{cn}的前n项和Tn;
(3)若
解:(1)由已知得,当n≥2时,
,
又b1=1=3×1﹣2,符合上式.
故数列{bn}的通项公式bn=3n﹣2.
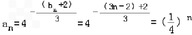
又∵
,
∴
,
故数列{an}的通项公式为
.
(2)
,
①,
②,
①﹣②得
=
=
,
∴
.
(3)∵
,
∴
=
,
当n=1时,cn+1=cn;
当n≥2时,cn+1≤cn,
∴
.
若
对一切正整数n恒成立,则只要
即可,
(m+5)(m﹣1)≥0,解得 m≤﹣5,或m≥1,
故实数m的取值范围为(﹣∞,﹣5]∪[1,+∞).
又b1=1=3×1﹣2,符合上式.
故数列{bn}的通项公式bn=3n﹣2.
又∵
∴
故数列{an}的通项公式为
(2)
①﹣②得
=
∴
(3)∵
∴
=
当n=1时,cn+1=cn;
当n≥2时,cn+1≤cn,
∴
若
(m+5)(m﹣1)≥0,解得 m≤﹣5,或m≥1,
故实数m的取值范围为(﹣∞,﹣5]∪[1,+∞).
练习册系列答案
相关题目