题目内容
设双曲线A.
B.5
C.
D.
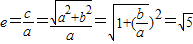
【答案】分析:由双曲线方程求得双曲线的一条渐近线方程,与抛物线方程联立消去y,进而根据判别式等于0求得
,进而根据c=
求得
即离心率.
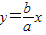
解答:解:双曲线
的一条渐近线为
,
由方程组
,消去y,
有唯一解,
所以△=
,
所以
,
,
故选D
点评:本题主要考查了双曲线的简单性质.离心率问题是圆锥曲线中常考的题目,解决本题的关键是找到a和b或a和c或b和c的关系.
解答:解:双曲线
由方程组
所以△=
所以
故选D
点评:本题主要考查了双曲线的简单性质.离心率问题是圆锥曲线中常考的题目,解决本题的关键是找到a和b或a和c或b和c的关系.
练习册系列答案
相关题目