题目内容
已知各项均为正数的数列{an}的前n项和满足S1>1,且 6Sn=(an+1)(an+2),n∈N*,
(1)求{an}的通项公式;
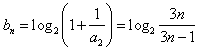
(2)设数列{bn}满足
,并记Tn为{bn}的前n项和,求证:3Tn+1>log2(an+3),n∈N*。
(1)求{an}的通项公式;
(2)设数列{bn}满足
(1)解:由
,
由假设
,
又由
,
得
,
即
,
因
不成立,舍去,
因此
,
从而{an}是公差为3,首项为2的等差数列,
故{an}的通项为
。
(2)证明:由
可解得
;
从而
,
因此
,
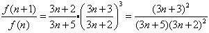
令
,
则
,
因
,
特别地
,
从而
,
即
。
由假设
又由
得
即
因
因此
从而{an}是公差为3,首项为2的等差数列,
故{an}的通项为
(2)证明:由
从而
因此
令
则
因
特别地
从而
即
练习册系列答案
相关题目