题目内容
已知数列{an}满足:a1=2t,t2-2an-1t+an-1an=0,n=2,3,4,…(其中t为常数,且t≠0),
(Ⅰ)求证:数列
为等差数列;
(Ⅱ)求数列{an}的通项公式;
(Ⅲ)设
,求数列{bn}的前n项和Sn。
(Ⅰ)求证:数列
(Ⅱ)求数列{an}的通项公式;
(Ⅲ)设
(Ⅰ)证明:∵
,
∴
,
∴
,
由
知
,
∴
,
即
,
∴数列
为等差数列。
(Ⅱ)解:由(Ⅰ)得,数列
为等差数列,公差为
,
∴
,
∴
。
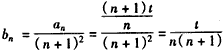
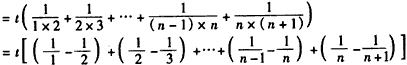
(Ⅲ)解:
,
∴

。
∴
∴
由
∴
即
∴数列
(Ⅱ)解:由(Ⅰ)得,数列
∴
∴
(Ⅲ)解:
∴
练习册系列答案
相关题目