题目内容
已知函数f(x)=ln(1+x)-x,g(x)=xlnx,
(1)求函数f(x)的最大值;
(2)设0<a<b,证明:0<g(a)+g(b)-2g(
)<(b-a)ln2。
(1)求函数f(x)的最大值;
(2)设0<a<b,证明:0<g(a)+g(b)-2g(
(Ⅰ)解:函数f(x)的定义域是(-1,+∞),
,
令f′(x)=0,解得x=0,
当-1<x<0时,f′(x)>0,当x>0时,f′(x)<0,
又f(0)=0,故当且仅当x=0时,f(x)取得最大值,最大值是0。
(Ⅱ)证明:g(a)+g(b)-2g(
)=alna+blnb-(a+b)ln
=
,
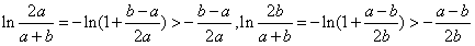
由(Ⅰ)的结论知ln(1+x)-x<0(x>-1,且x≠0),
由题设0<a<b,得
,
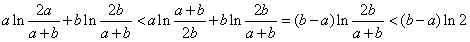
因此
,
所以
,
又
,
,
综上0<g(a)+g(b)-2g(
)<(b-a)ln2。
令f′(x)=0,解得x=0,
当-1<x<0时,f′(x)>0,当x>0时,f′(x)<0,
又f(0)=0,故当且仅当x=0时,f(x)取得最大值,最大值是0。
(Ⅱ)证明:g(a)+g(b)-2g(
由(Ⅰ)的结论知ln(1+x)-x<0(x>-1,且x≠0),
由题设0<a<b,得
因此
所以
又
综上0<g(a)+g(b)-2g(
练习册系列答案
相关题目