题目内容
已知函数h(x)=lnx+(1)若g(x)=h(x+m),求g(x)的极小值;
(2)若φ(x)=h(x)-
(3)若f(x)=h(x)-
【答案】分析:(1)由已知可得g(x)的表达式,求导数判单调性可得极小值;(2)可得φ(x),求导数可得极值M,构造函数v(x)=-1+2lnx-2x,再次求导数判单调性可得;(3)由数列的求和方法分别求得Sn和Tn,归纳可得
,累加可得
,可得存在正整数n=2014使之成立.
解答:解:(1)∵g(x)=h(x+m)
∴g(x)=ln(x+m)+
(x>-m)
∴g′(x)=
-
=
所以g(x)极小值=g(1-m)=1
(2)由题意可得φ(x)=h(x)-
-2x=ax2-2x+lnx (x>0)
求导数可得φ′(x)=2ax-2+
=
(x>0),
∵φ(x)有两个不同的极值点,∴2ax2-2x+1=0在(0,+∞)有两个不同的实根.
设p(x)=2ax2-2x+1,设两根为x1,x2,且x1<x2,
则有
,解之可得
,
∴
又p(x)=0在(0,+∞)的两根为x1,x2∴
∴
=
∴2M=-1+2lnx2-2x2,∵
,∴x2>1,
令v(x)=-1+2lnx-2x,v′(x)=-
,
∴x>1时,v′(x)<0,v(x)在(1,+∞)递减,
∴x>1时,v(x)=-1+2lnx-2x<v(1)=-3
∴2M<-3
(3)要使n>n时,恒有
即:
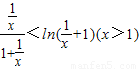
∵
.
;

=
同理:
=
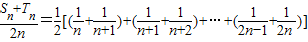
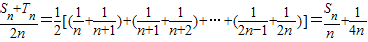
∴
由(1)的结论,令m=1得
即:
∴
即:
,
…
累加:
<ln2即:
又
∴
要使
只需要
,即:n>2014
综上所述,存在正整数n=2014,使得当n>n时,恒有nln4<Sn+Tn<
+nln4
点评:本题考查导数的极值和数列的综合,涉及数列的求和以及表达式的综合应用,属难题.
解答:解:(1)∵g(x)=h(x+m)
∴g(x)=ln(x+m)+
∴g′(x)=
| x | (-m,1-m) | 1-m | (1-m,+∞) |
| g′(x) | - | + | |
| g(x) | 递减 | 极小值 | 递增 |
(2)由题意可得φ(x)=h(x)-
求导数可得φ′(x)=2ax-2+
∵φ(x)有两个不同的极值点,∴2ax2-2x+1=0在(0,+∞)有两个不同的实根.
设p(x)=2ax2-2x+1,设两根为x1,x2,且x1<x2,
则有
| x | (0,x1) | x1 | (x1,x2) | x2 | (x2,+∞) |
| φ′(x) | + | - | + | ||
| φ(x) | 递增 | 极大值 | 递减 | 极小值 | 递增 |
又p(x)=0在(0,+∞)的两根为x1,x2∴
∴
∴2M=-1+2lnx2-2x2,∵
令v(x)=-1+2lnx-2x,v′(x)=-
∴x>1时,v′(x)<0,v(x)在(1,+∞)递减,
∴x>1时,v(x)=-1+2lnx-2x<v(1)=-3
∴2M<-3
(3)要使n>n时,恒有
∵
同理:
∴
由(1)的结论,令m=1得
∴
累加:
又
∴
要使
综上所述,存在正整数n=2014,使得当n>n时,恒有nln4<Sn+Tn<
点评:本题考查导数的极值和数列的综合,涉及数列的求和以及表达式的综合应用,属难题.
练习册系列答案
相关题目