题目内容
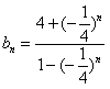
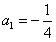
设数列{an}的前n项和为Sn,对任意的正整数n,都有an=5Sn+1成立,记
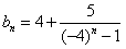
,
(Ⅰ)求数列{bn}的通项公式;
(Ⅱ)记cn=b2n-b2n-1(n∈N*),设数列{cn}的前n项和为Tn,求证:对任意正整数n都有Tn<
;
(Ⅲ)设数列{bn}的前n项和为Rn。已知正实数λ满足:对任意正整数n,Rn≤λn恒成立,求λ的最小值。
(Ⅰ)求数列{bn}的通项公式;
(Ⅱ)记cn=b2n-b2n-1(n∈N*),设数列{cn}的前n项和为Tn,求证:对任意正整数n都有Tn<
(Ⅲ)设数列{bn}的前n项和为Rn。已知正实数λ满足:对任意正整数n,Rn≤λn恒成立,求λ的最小值。
解:(Ⅰ)当n=1时,
,∴
,
又
,
∴
,
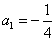
∴数列{an}成等比数列,其首项
,公比是
,
∴
,
∴
。
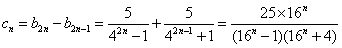
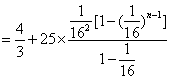
(Ⅱ)由(Ⅰ)知
,
∴
,
又
,
∴
,
当n=1时,
;
当n≥2时,

;
(Ⅲ)由(Ⅰ)知
,
一方面,已知
恒成立,
取n为大于1的奇数时,设
,
则

,
∴
对一切大于1的奇数n恒成立,
∴λ≥4,否则
只对满足的正奇数n成立,矛盾。
另一方面,当λ=4时,对一切的正整数n都有
,
事实上,对任意的正整数k,有

,
∴当n为偶数时,设
,
则
;
当n为奇数时,设
,
则
;
∴对一切的正整数n,都有
;
综上所述,正实数λ的最小值为4。
又
∴
∴数列{an}成等比数列,其首项
∴
∴
(Ⅱ)由(Ⅰ)知
∴
又
∴
当n=1时,
当n≥2时,
(Ⅲ)由(Ⅰ)知
一方面,已知
取n为大于1的奇数时,设
则
∴
∴λ≥4,否则
另一方面,当λ=4时,对一切的正整数n都有
事实上,对任意的正整数k,有
∴当n为偶数时,设
则
当n为奇数时,设
则
∴对一切的正整数n,都有
综上所述,正实数λ的最小值为4。
练习册系列答案
相关题目