题目内容
已知函数f(x)=a-(1)判断函数f(x)的奇偶性;
(2)判断并证明函数f(x)在(0,+∞)上的单调性.
【答案】分析:(1)首先判断函数的定义域是否关于原点对称,其次判断f(-x)±f(x)=0是否成立即可;
(2)利用函数的单调性的定义即可判断证明.
解答:解:(1)∵函数f(x)=a-
(a∈R),定义域为实数集R.
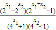
①∵f(-x)-f(x)=
=
+
=
=0,∴f(-x)=f(x)对于任意实数x都成立,∴函数f(x)是偶函数;
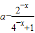
②又f(-x)+f(x)=
+a-
=2a-
×2,此式对于任意的实数x不满足f(-x)+f(x)=0,故此函数不是奇函数.
(2)解:判断:函数f(x)在(0,+∞)上是单调递增函数.
证明:任取0<x1<x2,
则f(x1)-f(x2)=
=
,
由0<x1<x2,∴
,
,
∴
,
,
又
,
,
∴f(x1)-f(x2)<0,
∴f(x1)<f(x2),
所以函数f(x)在(0,+∞)上是单调递增函数.
点评:熟练掌握函数的奇偶性的判断方法和证明函数的单调性是解题的关键.
(2)利用函数的单调性的定义即可判断证明.
解答:解:(1)∵函数f(x)=a-
①∵f(-x)-f(x)=
②又f(-x)+f(x)=
(2)解:判断:函数f(x)在(0,+∞)上是单调递增函数.
证明:任取0<x1<x2,
则f(x1)-f(x2)=
由0<x1<x2,∴
∴
又
∴f(x1)-f(x2)<0,
∴f(x1)<f(x2),
所以函数f(x)在(0,+∞)上是单调递增函数.
点评:熟练掌握函数的奇偶性的判断方法和证明函数的单调性是解题的关键.
练习册系列答案
相关题目