题目内容
已知数列{an}满足:
,anan+1<0(n≥1);数列{bn}满足:bn=an+12-an2(n≥1),
(Ⅰ)求数列{an},{bn}的通项公式;
(Ⅱ)证明:数列{bn}中的任意三项不可能成等差数列.
(Ⅰ)求数列{an},{bn}的通项公式;
(Ⅱ)证明:数列{bn}中的任意三项不可能成等差数列.
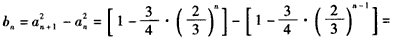
(Ⅰ)解:由题意可知,
,
令
,则
,
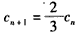
又
,
则数列{cn}是首项为
,公比为
的等比数列,
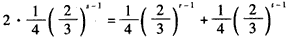
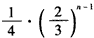
即
,故
,
又
,
故
,

。
(Ⅱ)证明:用反证法证明,
假设数列{bn}存在三项br,bs,bt(r<s<t)按某种顺序成等差数列,
由于数列{bn}是首项为
,公比为
的等比数列,
于是有br>bs>bt,则只可能有2br=bs+bt成立,
∴
,
两边同乘3t-121-r,化简得3t-r+2t-r=2·2s-r3t-s,
由于r<s<t,所以上式左边为奇数,右边为偶数,故上式不可能成立,导致矛盾;
故数列{bn}中任意三项不可能成等差数列。
令
又
则数列{cn}是首项为
即
又
故
(Ⅱ)证明:用反证法证明,
假设数列{bn}存在三项br,bs,bt(r<s<t)按某种顺序成等差数列,
由于数列{bn}是首项为
于是有br>bs>bt,则只可能有2br=bs+bt成立,
∴
两边同乘3t-121-r,化简得3t-r+2t-r=2·2s-r3t-s,
由于r<s<t,所以上式左边为奇数,右边为偶数,故上式不可能成立,导致矛盾;
故数列{bn}中任意三项不可能成等差数列。
练习册系列答案
相关题目