题目内容
已知函数f(x)=ax3+x2+bx(其中常数a,b∈R),g(x)=f(x)+f′(x)是奇函数,
(Ⅰ)求f(x)的表达式;
(Ⅱ)讨论g(x)的单调性,并求g(x)在区间[1,2]上的最大值与最小值.
(Ⅰ)求f(x)的表达式;
(Ⅱ)讨论g(x)的单调性,并求g(x)在区间[1,2]上的最大值与最小值.
解:(Ⅰ)由题意得,f′(x)=3ax2+2x+b,
因此g(x)=f(x)+f′(x)=ax3+(3a+1)x2+(b+2)x+b,
因为函数g(x)是奇函数,
所以g(-x)=-g(x),
即对任意实数x,有a(-x)3+(3a+1)(-x)2+(b+2)(-x)+b=-[ax3+(3a+1)x2+(b+2)x+b],
从而3a+1=0,b=0,
解得a=
,b=0,
因此f(x)的解析表达式为
。
(Ⅱ)由(I)知g(x)=
x3+2x,
所以g′(x)=-x2+2,
令g′(x)=0,解得
,
则当
或
时,g′(x)<0,从而g(x)在区间
上是减函数;
当
时,g′(x)>0,从而g(x)在区间
上是增函数。
由前面讨论知,g(x)在区间[1,2]上的最大值与最小值只能在x=1,
,2时取得,
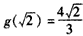
而
,
因此g(x)在区间[1,2]上的最大值为
,最小值为
。
因此g(x)=f(x)+f′(x)=ax3+(3a+1)x2+(b+2)x+b,
因为函数g(x)是奇函数,
所以g(-x)=-g(x),
即对任意实数x,有a(-x)3+(3a+1)(-x)2+(b+2)(-x)+b=-[ax3+(3a+1)x2+(b+2)x+b],
从而3a+1=0,b=0,
解得a=
因此f(x)的解析表达式为
(Ⅱ)由(I)知g(x)=
所以g′(x)=-x2+2,
令g′(x)=0,解得
则当
当
由前面讨论知,g(x)在区间[1,2]上的最大值与最小值只能在x=1,
而
因此g(x)在区间[1,2]上的最大值为
练习册系列答案
相关题目
已知函数f(x)=a-
,若f(x)为奇函数,则a=( )
| 1 |
| 2x+1 |
A、
| ||
| B、2 | ||
C、
| ||
| D、3 |