题目内容
已知等差数列满足:,的前n项和为
(1). 求
(2).令,求数列的前n项和
答案
(本小题满分12分)
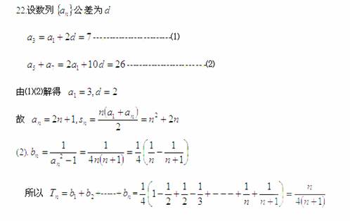
已知等差数列满足:,,的前n项和为.
(Ⅰ)求及;
(Ⅱ)令bn=(nN*),求数列的前n项和.
已知等差数列满足,,,则的值为 .
已知等差数列满足:,,该数列的前三项分别加上,,后顺次成为等比数列 的前三项. 求数列的通项公式=____________
(本小题满分14分)
已知等差数列满足,的前n项和为。(1)求和;
(2)令 ,求数列的前n项和
(原创)已知等差数列满足,,,则的值为( )
A. B. C. D.