题目内容
(选做题)
设函数f(x)=|x-1|,g(x)=|x-2|,
(Ⅰ)解不等式f(x)+g(x)<2;
(Ⅱ)对于实数x,y,若f(x)≤1,g(y)≤1,求证|x-2y+3|≤3。
设函数f(x)=|x-1|,g(x)=|x-2|,
(Ⅰ)解不等式f(x)+g(x)<2;
(Ⅱ)对于实数x,y,若f(x)≤1,g(y)≤1,求证|x-2y+3|≤3。
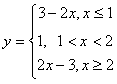
解:(1)令
,
则
,
作出函数
的图象,

它与直线y=2的交点为
和
,
所以
的解集为
。
(2)因为
,
所以
。
则
作出函数
它与直线y=2的交点为
所以
(2)因为
所以
练习册系列答案
相关题目