题目内容
已知奇函数f(x)=2x+a•2-x,x∈(-1,1)(1)求实数a的值;
(2)判断f(x)在(-1,1)上的单调性并进行证明;
(3)若函数f(x)满足f(1-m)+f(1-2m)<0,求实数m的取值范围.
【答案】分析:(1)利用f(0)=0即可求得a的值.
(2)利用增函数的定义即可证明.
(3)利用奇函数的定义将f(1-m)+f(1-2m)<0可化为f(1-m)<-f(1-2m)=f(2m-1),再由(2)单调性可得-1<1-m<2m-1<1,解出即可.
解答:解:(1)∵函数f(x)是定义在(-1,1)上的奇函数,∴f(0)=0,1+a=0,∴a=-1.
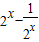
(2)证明:由(1)可知,f(x)=
.
任取-1<x1<x2<1,则

所以,f(x)在(-1,1)上单调递增.
(3)∵f(x)为奇函数,∴f(-x)=-f(x).
由已知f(x)在(-1,1)上是奇函数,
∴f(1-m)+f(1-2m)<0可化为f(1-m)<-f(1-2m)=f(2m-1),
又由(2)知f(x)在(-1,1)上单调递增,
∴
.
点评:本题综合考查了函数的奇偶性和单调性,深刻理解其定义和性质是解决问题的关键.
(2)利用增函数的定义即可证明.
(3)利用奇函数的定义将f(1-m)+f(1-2m)<0可化为f(1-m)<-f(1-2m)=f(2m-1),再由(2)单调性可得-1<1-m<2m-1<1,解出即可.
解答:解:(1)∵函数f(x)是定义在(-1,1)上的奇函数,∴f(0)=0,1+a=0,∴a=-1.
(2)证明:由(1)可知,f(x)=
任取-1<x1<x2<1,则
所以,f(x)在(-1,1)上单调递增.
(3)∵f(x)为奇函数,∴f(-x)=-f(x).
由已知f(x)在(-1,1)上是奇函数,
∴f(1-m)+f(1-2m)<0可化为f(1-m)<-f(1-2m)=f(2m-1),
又由(2)知f(x)在(-1,1)上单调递增,
∴
点评:本题综合考查了函数的奇偶性和单调性,深刻理解其定义和性质是解决问题的关键.
练习册系列答案
相关题目