题目内容
已知正项等差数列{an}的前n项和为Sn,且满足
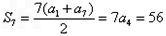
,S7=56.
(Ⅰ)求数列{an}的通项公式an;
(Ⅱ)若数列{bn}满足b1=a1且bn+1-bn=an+1,求数列
的前n项和Tn.
(Ⅰ)求数列{an}的通项公式an;
(Ⅱ)若数列{bn}满足b1=a1且bn+1-bn=an+1,求数列
解:(Ⅰ) ∵{an}是等差数列且a1+a5=
a32,∴2a3=
a32,
又∵an>0∴a3=6
∵
∴a4=8
∴d=a4-a3=2,∴an=a3+(n-3)d=2n.
(Ⅱ)∵bn+1-bn=an+1且an=2n,∴bn+1-bn=2(n+1)
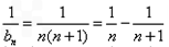
当
时,![]()
,
当n=1时,b1=2满足上式,bn=n(n+1)
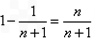
∴
∴Tn![]()
=![]()
=
.
练习册系列答案
相关题目
已知正项等差数列{an}的前20项和为100,则a5•a16的最大值是( )
| A、100 | B、75 | C、25 | D、50 |
已知正项等差数列{an}的前20项的和为100,那么a7a14的最大值为( )
| A、75 | B、100 | C、50 | D、25 |