题目内容
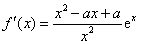
已知函数
,其中e为自然对数的底数,
(Ⅰ)当a=2时,求曲线y=f(x)在(1,f(1))处的切线与坐标轴围成的面积;
(Ⅱ)若函数f(x)存在一个极大值点和一个极小值点,且极大值与极小值的积为e5,求a的值。
(Ⅰ)当a=2时,求曲线y=f(x)在(1,f(1))处的切线与坐标轴围成的面积;
(Ⅱ)若函数f(x)存在一个极大值点和一个极小值点,且极大值与极小值的积为e5,求a的值。
解:(Ⅰ)
,
当a=2时,
,
,f(1)=-e,
所以曲线y=f(x)在(1,f(1))处的切线方程为y=ex-2e,
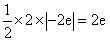
切线与x轴、y轴的交点坐标分别为(2,0),(0,-2e),
所以,所求面积为
。
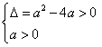
(Ⅱ)因为函数f(x)存在一个极大值点和一个极小值点,
所以,方程
在(0,+∞)内存在两个不等实根,
则
,
所以a>4,
设
为函数f(x)的极大值点和极小值点,则
,
因为
,
所以
,
即
,
解得:a=5,
此时f(x)有两个极值点,所以a=5。
当a=2时,
所以曲线y=f(x)在(1,f(1))处的切线方程为y=ex-2e,
切线与x轴、y轴的交点坐标分别为(2,0),(0,-2e),
所以,所求面积为
(Ⅱ)因为函数f(x)存在一个极大值点和一个极小值点,
所以,方程
则
所以a>4,
设
因为
所以
即
解得:a=5,
此时f(x)有两个极值点,所以a=5。
练习册系列答案
相关题目