题目内容

已知等比数列单调递增,.

(Ⅰ)求

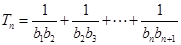
(Ⅱ)若,求的最小值.

 

【答案】

(Ⅰ)  ;(Ⅱ) .

【解析】

试题分析:(Ⅰ)先由已知条件根据函数根的性质构造函数求出函数的根,那么就得到等比数列的第一项和第四项,由等比数列的形式即得数列的通项;(Ⅱ)首先求出的通项公式,然后代入得不等式,解不等式即可,注意的取值集合.

试题解析:解:(Ⅰ)因为是等比数列,所以,                  2分

,所以是方程

,所以                               4分

所以公比,从而                  6分

(Ⅱ)由上知,所以                    8分

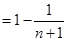
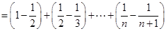
所以有

               12分

,得 

所以的最小值是                                      14分

考点:1、等比数列的通项公式;2、数列与函数的综合应用;3、数列与不等式的综合应用

 

练习册系列答案
相关题目

违法和不良信息举报电话:027-86699610 举报邮箱:58377363@163.com

精英家教网