题目内容
已知函数f(x)=(x-1)2,g(x)=4(x-1),数列{an}满足a1=2,且(an+1-an)g(an)+f(an)=0.(1)试探究数列{an-1}是否是等比数列?
(2)试证明
【答案】分析:(1)由(an+1-an)g(an)+f(an)=0,得(an-1)(4an+1-4an+an-1)=0,所以4an+1-4an+an-1=0,由此能够证明数列{an-1}是等比数列.
(2)由(1)知
,
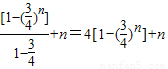
=4[1-(
)n]+n,由此能够证明
.
解答:解:(1)∵f(x)=(x-1)2,g(x)=4(x-1),
∴由(an+1-an)g(an)+f(an)=0,
得4(an+1-an)(an-1)+(an-1)2=0,即(an-1)(4an+1-4an+an-1)=0,(1分)
∴an-1=0,或4an+1-4an+an-1=0,
∵a1=2,∴an-1=0不合题意,舍去.
由4an+1-4an+an-1=0,
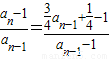
得4an+1=3an+1,∴
,(n≥2)--------(3分)
∴
=
,
∴数列{an-1}是首项为a1-1,公比为
的等比数列.(5分)
(2)证明:由(1)知数列{an-1}是首项为a1-1=1,公比为
的等比数列,
∴
,∴
,(6分)
∴
=
,(8分)
∵对?n∈N*,有(
)n
,
∴1-(
)n≥1-
=
,
∴4[1-(
)n]+n≥1+n,即
.(10分)
点评:本题考查等比数列的判断和不等式的证明,解题时要认真审题,注意构造法的合理运用.
(2)由(1)知
解答:解:(1)∵f(x)=(x-1)2,g(x)=4(x-1),
∴由(an+1-an)g(an)+f(an)=0,
得4(an+1-an)(an-1)+(an-1)2=0,即(an-1)(4an+1-4an+an-1)=0,(1分)
∴an-1=0,或4an+1-4an+an-1=0,
∵a1=2,∴an-1=0不合题意,舍去.
由4an+1-4an+an-1=0,
得4an+1=3an+1,∴
∴
∴数列{an-1}是首项为a1-1,公比为
(2)证明:由(1)知数列{an-1}是首项为a1-1=1,公比为
∴
∴
=
∵对?n∈N*,有(
∴1-(
∴4[1-(
点评:本题考查等比数列的判断和不等式的证明,解题时要认真审题,注意构造法的合理运用.
练习册系列答案
相关题目
已知函数f(x)=x2-bx的图象在点A(1,f(1))处的切线l与直线3x-y+2=0平行,若数列{
}的前n项和为Sn,则S2010的值为( )
| 1 |
| f(n) |
A、
| ||
B、
| ||
C、
| ||
D、
|