题目内容
已知函数f(x)=(1)若f(m)=6,求f(-m)的值;
(2)若f(1)=3,求f(2)及
【答案】分析:(1)先求出f(-x),判断出奇偶性,在利用奇偶性求f(-m)即可.
(2)由f(1)=3⇒a+
=6,在对其平方求出
=34再找到f(2)
利用
可求出f(
).
解答:解:(1)∵f(-x)=
=f(x)
∴f(x)为偶函数
∴f(-m)=f(m)=6.
(2)∵f(1)=3
∴a+
=6
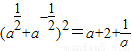
∴
=36
∴
=34
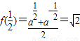
∴f(2)=17
∵
=8,
∴
∴
.
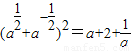
点评:在解指数函数方面的题时,若有a+
,则可以求出
+
,a2+a-2,a3+a-3等的值.
(2)由f(1)=3⇒a+
利用
解答:解:(1)∵f(-x)=
∴f(x)为偶函数
∴f(-m)=f(m)=6.
(2)∵f(1)=3
∴a+
∴
∴
∴f(2)=17
∵
∴
∴
点评:在解指数函数方面的题时,若有a+
练习册系列答案
相关题目
已知函数f(x)=x2-bx的图象在点A(1,f(1))处的切线l与直线3x-y+2=0平行,若数列{
}的前n项和为Sn,则S2010的值为( )
| 1 |
| f(n) |
A、
| ||
B、
| ||
C、
| ||
D、
|